1 名前:一般よりも上級の名無しさん 投稿日時:2026/01/17(土) 05:16:20.47 ID:81wDnYXc0
(※ソース画像の「来年」というのは2026年=今年のこと)
自転車の手信号
違反いくら払う?自転車の取り締まり【しらへ?てみたら】(2025年7月)
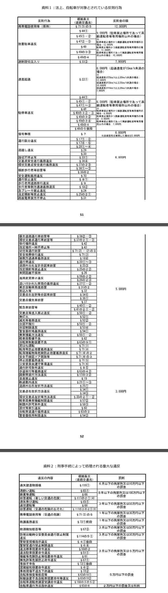
https://www.youtube.com/watch?v=y5jAZW-kILg自転車を安全・安心に利用するために ー自転車への交通反則通告制度(青切符)の導入ー 【自転車ルールブック】|警察庁
https://www.npa.go.jp/bureau/traffic/bicycle/pdf/rulebook.pdf
2 名前:一般よりも上級の名無しさん 投稿日時:2026/01/17(土) 05:17:07.10 ID:c4kHinxHd
何故か高校の前で張り込みます
5 名前:一般よりも上級の名無しさん 投稿日時:2026/01/17(土) 05:19:33.13 ID:9JX/jz7i0
>>2
入れ食いだな
入れ食いだな
89 名前:一般よりも上級の名無しさん 投稿日時:2026/01/17(土) 05:44:19.64 ID:DshDCjZP0
>>2
田舎のトップ校で下校開始10秒で逆走してるからな
教師も道路交通法1ミリもわかってないしあいつら頭悪いぞ
田舎のトップ校で下校開始10秒で逆走してるからな
教師も道路交通法1ミリもわかってないしあいつら頭悪いぞ
3 名前:一般よりも上級の名無しさん 投稿日時:2026/01/17(土) 05:17:25.45 ID:81wDnYXc0
これチャリモメンは毎日反則切符切られちゃうな(´^ω^`)
4 名前:一般よりも上級の名無しさん 投稿日時:2026/01/17(土) 05:18:24.37 ID:81wDnYXc0
手信号とかジジイは知らんやろw
6 名前:一般よりも上級の名無しさん 投稿日時:2026/01/17(土) 05:19:34.57 ID:nhg9JgjLH
戦争前になるとこういう締め付けを始める
対立構造の中で取締られて当たり前という世論を作る
愚民はそうだそうだと自ら権威にひれ伏すようになる
対立構造の中で取締られて当たり前という世論を作る
愚民はそうだそうだと自ら権威にひれ伏すようになる
7 名前:一般よりも上級の名無しさん 投稿日時:2026/01/17(土) 05:20:00.30 ID:81wDnYXc0
22 名前:一般よりも上級の名無しさん 投稿日時:2026/01/17(土) 05:27:20.40 ID:9mzwpkVB0
>>7
全員捕まえたらええやん
全員捕まえたらええやん
8 名前:一般よりも上級の名無しさん 投稿日時:2026/01/17(土) 05:22:20.94 ID:Es2xvObs0
もう自転車にウインカーとブレーキランプ必須になるな
煽られ運転がしっかり違反になるのはいいことだ
煽られ運転がしっかり違反になるのはいいことだ
53 名前:一般よりも上級の名無しさん 投稿日時:2026/01/17(土) 05:36:27.33 ID:KNDqKw580
>>8
えんじ
えんじ
56 名前:一般よりも上級の名無しさん 投稿日時:2026/01/17(土) 05:36:50.72 ID:KNDqKw580
>>8
エンジンも取り付けないとな
エンジンも取り付けないとな
9 名前:一般よりも上級の名無しさん 投稿日時:2026/01/17(土) 05:22:52.64 ID:5aYjUJk30
手信号はウインカー装備したら免除とかにならんの?
12 名前:一般よりも上級の名無しさん 投稿日時:2026/01/17(土) 05:24:35.96 ID:81wDnYXc0
>>9
ウインカー出し忘れるだろ
ウインカー出し忘れるだろ
16 名前:一般よりも上級の名無しさん 投稿日時:2026/01/17(土) 05:25:46.17 ID:ivbZqzqrM
>>9
なる
なる
10 名前:一般よりも上級の名無しさん 投稿日時:2026/01/17(土) 05:23:23.11 ID:KWuxV8med
道路整備すらまともにやらずに青切符とか、単に金が欲しいだけ権力でイキりたいだけやん、
自分らは不正から逃れて誤魔化すだけなのに庶民には金払えとか本当ふざけてるわこの馬鹿組織
自分らは不正から逃れて誤魔化すだけなのに庶民には金払えとか本当ふざけてるわこの馬鹿組織
11 名前:一般よりも上級の名無しさん 投稿日時:2026/01/17(土) 05:24:08.64 ID:K6nxK1360
ジジババが死にまくって社会問題になりそう
13 名前:一般よりも上級の名無しさん 投稿日時:2026/01/17(土) 05:24:58.74 ID:PpoSTlA90
ウォーキングしよう
15 名前:一般よりも上級の名無しさん 投稿日時:2026/01/17(土) 05:25:26.54 ID:ZGyS9BhD0
>>1
これやりすぎちゃうか
世界でこんなに厳しい国あるんか?
ディストピアに向かってるとしか思えないが
これやりすぎちゃうか
世界でこんなに厳しい国あるんか?
ディストピアに向かってるとしか思えないが
21 名前:一般よりも上級の名無しさん 投稿日時:2026/01/17(土) 05:27:15.09 ID:ivbZqzqrM
>>15
性犯罪だって厳罰化されていくんだ、自転車が厳罰化されたっておかしくないだろ
それとも自分が関わる犯罪だけは寛容になれってか?
性犯罪だって厳罰化されていくんだ、自転車が厳罰化されたっておかしくないだろ
それとも自分が関わる犯罪だけは寛容になれってか?
36 名前:一般よりも上級の名無しさん 投稿日時:2026/01/17(土) 05:31:57.52 ID:ZGyS9BhD0
>>21
それは例えがおかしいな
性犯罪になる範囲を広げるのと今回の自転車の件が一緒だろ
例えばチ●コマ●コだけじゃなしに乳房見せるのも刑罰に当たるとかそんな問題や
性犯罪が厳罰化とイコールは自転車事故での厳罰化なのでは
そっちならまだ理解できる
それは例えがおかしいな
性犯罪になる範囲を広げるのと今回の自転車の件が一緒だろ
例えばチ●コマ●コだけじゃなしに乳房見せるのも刑罰に当たるとかそんな問題や
性犯罪が厳罰化とイコールは自転車事故での厳罰化なのでは
そっちならまだ理解できる
17 名前:一般よりも上級の名無しさん 投稿日時:2026/01/17(土) 05:26:06.80 ID:gvS0FQsU0
昨日左車線も60キロで流れる国道(自転車専用レーンなし)でヨボヨボの爺さんが夜9時頃チャリこいでたぞ。。。
すぐ左にでっけぇ歩道があるのに
マジで広い歩道はチャリOKの法律見直し頼むわ
すぐ左にでっけぇ歩道があるのに
マジで広い歩道はチャリOKの法律見直し頼むわ
27 名前:一般よりも上級の名無しさん 投稿日時:2026/01/17(土) 05:29:01.54 ID:9mzwpkVB0
>>17
真面目そうな子供がどう見ても歩道に人がおらんのに車道とか走らされてるの見ても悪法やなと思うわ
都心で歩道歩くか運転手付きの車に乗るジジイが作った法律に日本中が付き合わされている
これができた趣旨も知らんやつらがそのうち自転車が歩道を走ってるだけで法律違反だとか言い出すと思うとウンザリするよな
真面目そうな子供がどう見ても歩道に人がおらんのに車道とか走らされてるの見ても悪法やなと思うわ
都心で歩道歩くか運転手付きの車に乗るジジイが作った法律に日本中が付き合わされている
これができた趣旨も知らんやつらがそのうち自転車が歩道を走ってるだけで法律違反だとか言い出すと思うとウンザリするよな
32 名前:一般よりも上級の名無しさん 投稿日時:2026/01/17(土) 05:31:06.01 ID:81wDnYXc0
>>17
70歳以上が運転する自転車は歩道通行OKだぞ
そのジジイが法律を知らないだけか、「ワシはまだ若い!」と思い込んでる老害
70歳以上が運転する自転車は歩道通行OKだぞ
そのジジイが法律を知らないだけか、「ワシはまだ若い!」と思い込んでる老害
20 名前:一般よりも上級の名無しさん 投稿日時:2026/01/17(土) 05:27:13.89 ID:Br55Mmvm0
どうせたいして取り締まらないんだろ?
車のスマホ運転は減るどころか増えてるし
車のスマホ運転は減るどころか増えてるし
31 名前:一般よりも上級の名無しさん 投稿日時:2026/01/17(土) 05:30:48.68 ID:9mzwpkVB0
>>20
なんかバカみたいな法律作るだけ作ってあり得ないとか批判が多かったら警察が捕まえんことにするみたいなことずっとやっとるよな
なんかバカみたいな法律作るだけ作ってあり得ないとか批判が多かったら警察が捕まえんことにするみたいなことずっとやっとるよな
23 名前:一般よりも上級の名無しさん 投稿日時:2026/01/17(土) 05:27:27.38 ID:CzITxmVY0
手信号とかかっこ悪い😥
25 名前:一般よりも上級の名無しさん 投稿日時:2026/01/17(土) 05:27:58.91 ID:EhVtw8x10
歩道走るながなくね?
>>1
>>1
38 名前:一般よりも上級の名無しさん 投稿日時:2026/01/17(土) 05:32:12.27 ID:81wDnYXc0
>>25
PDFに書いてある通行区分違反がそれ
PDFに書いてある通行区分違反がそれ
26 名前:一般よりも上級の名無しさん 投稿日時:2026/01/17(土) 05:28:55.25 ID:PpoSTlA90
ウォーキング行こう
28 名前:一般よりも上級の名無しさん 投稿日時:2026/01/17(土) 05:29:24.35 ID:ciQXoL3t0
こんなの移民連中が守ると思えないけど
これも日本人撲滅政策の一環?😂
これも日本人撲滅政策の一環?😂
29 名前:一般よりも上級の名無しさん 投稿日時:2026/01/17(土) 05:30:05.46 ID:AUthsXnA0
おせーんだよこれ
と言うか守らないやつ多いだろうし取り締まらない限り意味ないだろ
と言うか守らないやつ多いだろうし取り締まらない限り意味ないだろ
30 名前:一般よりも上級の名無しさん 投稿日時:2026/01/17(土) 05:30:13.55 ID:K6nxK1360
まあ車でさえ取り締まりきれてないからやってる感の演出だけと思うがめんどそうだったらバス通勤に変えるかな
33 名前:一般よりも上級の名無しさん 投稿日時:2026/01/17(土) 05:31:19.57 ID:lLEcZr6V0
未だに逆走に一時停止無視しまくりだけど本当に取り締まるの?
34 名前:一般よりも上級の名無しさん 投稿日時:2026/01/17(土) 05:31:31.63 ID:8bdquPQoM
前住んでたとこに手信号おじさんいたな
徒歩でも手信号してた
今も生きてるかな
徒歩でも手信号してた
今も生きてるかな
35 名前:一般よりも上級の名無しさん 投稿日時:2026/01/17(土) 05:31:47.22 ID:AUXoOCCL0
車道で手信号は危なくないか
59 名前:一般よりも上級の名無しさん 投稿日時:2026/01/17(土) 05:37:26.35 ID:ZGyS9BhD0
>>35
危ないよな
まだウインカー義務の方がマシだろ
危ないよな
まだウインカー義務の方がマシだろ
37 名前:一般よりも上級の名無しさん 投稿日時:2026/01/17(土) 05:31:57.97 ID:AUthsXnA0
ハゲプア子供は歩道を走って良いことを知らないw
39 名前:一般よりも上級の名無しさん 投稿日時:2026/01/17(土) 05:32:17.87 ID:RXSMjo0U0
現時点ですら違法なモペットは野放しのくせに捕まえやすい奴だけ捕まえようの精神
40 名前:一般よりも上級の名無しさん 投稿日時:2026/01/17(土) 05:32:31.74 ID:7SJ6SIdi0
これ全部覚えられる警察官少ないやろな
41 名前:一般よりも上級の名無しさん 投稿日時:2026/01/17(土) 05:32:35.07 ID:rVRGkYRu0
ブーンブーン!
(*><∧ ∧
(O ( *‘ω‘*) どけ、どけーいぽっぽ♪
U ( O┬O
ぼいんっε三◎-ヽJ┴◎ キコキコ
42 名前:一般よりも上級の名無しさん 投稿日時:2026/01/17(土) 05:33:08.83 ID:eYbq+joM0
合図やってるやつなんて自転車人口の0.01%以下だろ…
全員犯罪者にする気かおい
全員犯罪者にする気かおい
47 名前:一般よりも上級の名無しさん 投稿日時:2026/01/17(土) 05:34:41.83 ID:9mzwpkVB0
>>42
ワロタw
しかも合図とか車が後ろにおればええけど車の横で出されたらぶつかって危険なだけだよな
ワロタw
しかも合図とか車が後ろにおればええけど車の横で出されたらぶつかって危険なだけだよな
44 名前:一般よりも上級の名無しさん 投稿日時:2026/01/17(土) 05:34:07.06 ID:qqfQpAJY0
乗車積載方法違反って何?
55 名前:一般よりも上級の名無しさん 投稿日時:2026/01/17(土) 05:36:48.72 ID:jK518F8N0
>>44
この絵見ると手に荷物持ちながら走るってことかな
リュックとか両手が空くものならいいんだろ
この絵見ると手に荷物持ちながら走るってことかな
リュックとか両手が空くものならいいんだろ
60 名前:一般よりも上級の名無しさん 投稿日時:2026/01/17(土) 05:37:39.73 ID:81wDnYXc0
>>44
ハンドルに買い物袋やカバンをぶら下げたまま走行したら違反
ハンドルに買い物袋やカバンをぶら下げたまま走行したら違反
45 名前:一般よりも上級の名無しさん 投稿日時:2026/01/17(土) 05:34:08.96 ID:3xbeyUL80
合図義務ったって乗るほうも見るほうも把握してないだろ
67 名前:一般よりも上級の名無しさん 投稿日時:2026/01/17(土) 05:38:50.74 ID:81wDnYXc0
>>45
自動車学校で習うから免許もってる奴は知ってるだろ
実際に公道で合図してる自転車なんか見たこと無いけどな
自動車学校で習うから免許もってる奴は知ってるだろ
実際に公道で合図してる自転車なんか見たこと無いけどな
49 名前:一般よりも上級の名無しさん 投稿日時:2026/01/17(土) 05:35:55.92 ID:3xbeyUL80
合図は図でしか見たことない
やってみせても走行妨害にしか見えないんじゃないかな
やってみせても走行妨害にしか見えないんじゃないかな
50 名前:一般よりも上級の名無しさん 投稿日時:2026/01/17(土) 05:35:57.16 ID:C8IjxtUZ0
自転車関連の法整備してる奴、アホやろマジで。
51 名前:一般よりも上級の名無しさん 投稿日時:2026/01/17(土) 05:36:16.55 ID:gSmzvfhg0
規則だけ作って、実際それが現実的に運用可能であるかはおいて取締の権限だけは握っておくみたいな警察のやりそうなことだ
52 名前:一般よりも上級の名無しさん 投稿日時:2026/01/17(土) 05:36:17.47 ID:eYbq+joM0
生まれてこの方合図してるやつ見たことねーぞ
大体片手離すの危ねーだろ
大体片手離すの危ねーだろ
54 名前:一般よりも上級の名無しさん 投稿日時:2026/01/17(土) 05:36:28.04 ID:8bdquPQoM
これ逆におれらが警察を捕まえることできるのかな
私人逮捕系ユーチューバーにがんばってほしいね
私人逮捕系ユーチューバーにがんばってほしいね
63 名前:一般よりも上級の名無しさん 投稿日時:2026/01/17(土) 05:38:35.64 ID:ZGyS9BhD0
>>54
これな
私人逮捕じゃなくて警察逮捕YouTuバーなら応援するわ
これな
私人逮捕じゃなくて警察逮捕YouTuバーなら応援するわ
57 名前:一般よりも上級の名無しさん 投稿日時:2026/01/17(土) 05:37:10.90 ID:JZNUxnYq0
当然自転車に乗ってる警察は全部守るんだよなw
76 名前:一般よりも上級の名無しさん 投稿日時:2026/01/17(土) 05:40:20.04 ID:81wDnYXc0
>>57
チャリに乗ってる警官が手信号してるとこなんて見たこと無いけどなw
チャリに乗ってる警官が手信号してるとこなんて見たこと無いけどなw
83 名前:一般よりも上級の名無しさん 投稿日時:2026/01/17(土) 05:41:54.92 ID:c4kHinxHd
>>76
ネットに警察官が晒されそうだ
ネットに警察官が晒されそうだ
58 名前:一般よりも上級の名無しさん 投稿日時:2026/01/17(土) 05:37:25.35 ID:lif4UWP70
正直、手信号なんて通じないので
ヨードバイクにウインカーつけたい
ヨードバイクにウインカーつけたい
61 名前:一般よりも上級の名無しさん 投稿日時:2026/01/17(土) 05:38:10.78 ID:5pVopF100
警察的には踏切の前で張っとくのが一番コスパ良さそうだな
踏切不停止の罰金のこと知らない奴ら入れ食いだろw
踏切不停止の罰金のこと知らない奴ら入れ食いだろw
62 名前:一般よりも上級の名無しさん 投稿日時:2026/01/17(土) 05:38:18.75 ID:rVRGkYRu0
曲がる時や横断の時に手信号してる人はかっちょいいと思うや
バカにしたらあかんよ
バカにしたらあかんよ
82 名前:一般よりも上級の名無しさん 投稿日時:2026/01/17(土) 05:41:41.69 ID:zvKwsuPr0
>>62
これ
突然曲がるとかないからわかりやすい
これ
突然曲がるとかないからわかりやすい
64 名前:一般よりも上級の名無しさん 投稿日時:2026/01/17(土) 05:38:37.90 ID:Eo3vDXpxa
近所だけで「自転車を除く」になってない一方通行が三カ所もあるんだけど
65 名前:一般よりも上級の名無しさん 投稿日時:2026/01/17(土) 05:38:43.58 ID:M1vbOjME0
自転車専用道路作ってからいえよ
なんなんだよこのバカみたいな罰則はw
なんなんだよこのバカみたいな罰則はw
66 名前:一般よりも上級の名無しさん 投稿日時:2026/01/17(土) 05:38:49.34 ID:K6nxK1360
あぶねえからスマホとか傘さし禁止してるのに手信号とか決めた奴らは知能に欠陥があるんじゃないのか
68 名前:一般よりも上級の名無しさん 投稿日時:2026/01/17(土) 05:38:52.19 ID:xBiinjRx0
合図したら安全運転義務違反で捕まる未来
69 名前:一般よりも上級の名無しさん 投稿日時:2026/01/17(土) 05:38:53.59 ID:gbm29Wty0
手信号したら後ろのクルマが手信号知らなくて中指立てたと勘違いされて第三次になった話する?
70 名前:一般よりも上級の名無しさん 投稿日時:2026/01/17(土) 05:38:59.22 ID:5aYjUJk30
自転車で線路わたるとき「自転車も車両よな」って思いながら一時停止してるけど正解なのかわからん
71 名前:一般よりも上級の名無しさん 投稿日時:2026/01/17(土) 05:39:24.95 ID:85ceSP+O0
30メートル前からやるのかwwwwwwwww
国会で取り上げろよ
国会で取り上げろよ
86 名前:一般よりも上級の名無しさん 投稿日時:2026/01/17(土) 05:42:42.72 ID:81wDnYXc0
>>71
ジジババだと遅すぎて30m進む頃には信号変わってそうwww
ジジババだと遅すぎて30m進む頃には信号変わってそうwww
72 名前:一般よりも上級の名無しさん 投稿日時:2026/01/17(土) 05:39:35.28 ID:9nl9jIn50
警察官は全員手旗やるんか
見ものだなwww
見ものだなwww
74 名前:一般よりも上級の名無しさん 投稿日時:2026/01/17(土) 05:39:51.75 ID:AYJnhrYx0
片手運転してバランス崩したら警察が責任取ってくれるのか?
ウインカー義務化にしろよ
ウインカー義務化にしろよ
75 名前:一般よりも上級の名無しさん 投稿日時:2026/01/17(土) 05:40:02.47 ID:6fc/ptLW0
利権で緑化整備したのが仇になってんだよな
77 名前:一般よりも上級の名無しさん 投稿日時:2026/01/17(土) 05:40:31.89 ID:9nl9jIn50
違反警察官見つけてアップしまくる奴ら出てくるやろね
78 名前:一般よりも上級の名無しさん 投稿日時:2026/01/17(土) 05:40:32.38 ID:E8xfqZA90
>>1
これビビるのがヘルメットは義務化されてないんだよな
安全面を考慮するなら1番始めにヘルメットの義務化だろ
これビビるのがヘルメットは義務化されてないんだよな
安全面を考慮するなら1番始めにヘルメットの義務化だろ
90 名前:一般よりも上級の名無しさん 投稿日時:2026/01/17(土) 05:45:13.67 ID:81wDnYXc0
>>78
義務化はされてるぞ
罰則が無いだけ
義務化はされてるぞ
罰則が無いだけ
79 名前:一般よりも上級の名無しさん 投稿日時:2026/01/17(土) 05:40:34.79 ID:85ceSP+O0
誰が決めたか教えてくれ
81 名前:一般よりも上級の名無しさん 投稿日時:2026/01/17(土) 05:41:29.64 ID:eYbq+joM0
>>79
警察官僚じゃねーの
国会はその下請けやろ
警察官僚じゃねーの
国会はその下請けやろ
80 名前:一般よりも上級の名無しさん 投稿日時:2026/01/17(土) 05:41:16.45 ID:6MUVhYCh0
手信号は自動車側からも分かり難いし電動アシスト自転車ならウィンカー付けたくなるな
84 名前:一般よりも上級の名無しさん 投稿日時:2026/01/17(土) 05:42:37.51 ID:9nl9jIn50
あと公務員もな
85 名前:一般よりも上級の名無しさん 投稿日時:2026/01/17(土) 05:42:38.53 ID:zNiaJKLH0
チャリカスの知性だとまず信号を守ることができなそう🤭
87 名前:一般よりも上級の名無しさん 投稿日時:2026/01/17(土) 05:42:55.71 ID:2aiYLpwW0
⛑
(´ん`/)🫳
🚲
(´ん`/)🫳
🚲
88 名前:一般よりも上級の名無しさん 投稿日時:2026/01/17(土) 05:43:38.49 ID:LSEbOEhM0
ちゃんと外人もきっっつっつちり取り締まれよ差別ではない誰もが平等にな
話はそれからだそうじゃないと国民誰も納得せん
話はそれからだそうじゃないと国民誰も納得せん
91 名前:一般よりも上級の名無しさん 投稿日時:2026/01/17(土) 05:45:28.57 ID:L/5jeiln0
よっしゃ車の邪魔を合法的にできるようになったw
手をひいてもrくぞー
手をひいてもrくぞー









コメント一覧