- 1 名前:一般よりも上級の名無しさん 投稿日時:2025/01/24(金) 23:02:27.94 ID:7KgySuIZM
- 2 名前:一般よりも上級の名無しさん 投稿日時:2025/01/24(金) 23:02:42.77 ID:7KgySuIZM
-
アメリカでは15億円以下の相続財産が非課税だが日本では4,800万円でも課税対象。これじゃ、子や孫に何も残せないよ…他国と比較して見えてくる日本の“異常性
https://news.yahoo.co.jp/articles/00a01a76393c3842a85ecca374f9bf62edc26531
- 37 名前:一般よりも上級の名無しさん 投稿日時:2025/01/24(金) 23:03:18.43 ID:inSglVJS0
-
家でも買えば?
- 38 名前:一般よりも上級の名無しさん 投稿日時:2025/01/24(金) 23:03:43.99 ID:U95WnaZj0
-
そもそも子供すらいない
未来も希望もないのが日本人 - 39 名前:一般よりも上級の名無しさん 投稿日時:2025/01/24(金) 23:03:50.80 ID:IQhUZQ4u0
-
日本で働くなんて賽の河原の石積のようなもんだぞ
一生懸命頑張っても上級という鬼が全部持って行っちゃう - 40 名前:一般よりも上級の名無しさん 投稿日時:2025/01/24(金) 23:04:05.74 ID:jx8zVo/10
-
異常なのはお前だけ定期w
- 46 名前:一般よりも上級の名無しさん 投稿日時:2025/01/24(金) 23:05:35.19 ID:ex7BXZ2d0
-
>>40
お前の対象が広すぎだボケ定期 - 41 名前:一般よりも上級の名無しさん 投稿日時:2025/01/24(金) 23:04:12.83 ID:1gyYZdNI0
-
残さなくても好きな仕事で生活できるのが最高じゃん
- 42 名前:一般よりも上級の名無しさん 投稿日時:2025/01/24(金) 23:04:17.08 ID:grB2EgWB0
-
子どもに残す金なんかないよ
- 43 名前:一般よりも上級の名無しさん 投稿日時:2025/01/24(金) 23:04:21.28 ID:2nZ1HbRq0
-
子供がいなければ丸く収まる
- 44 名前:一般よりも上級の名無しさん 投稿日時:2025/01/24(金) 23:05:06.77 ID:ZpLCL8AX0
-
お前だけ定期。自己責任。
- 47 名前:一般よりも上級の名無しさん 投稿日時:2025/01/24(金) 23:06:02.32 ID:7KgySuIZM
-
■野田元総理「裏金といううまみがあって、相続は非課税。うまみがあるから世襲が増える」
https://newsdig.tbs.co.jp/articles/-/912392?page=2■総務省「政治資金に相続税の課税は生じない」
https://www.tokyo-np.co.jp/article/295464■総務省「政治資金の使途については、原則として特段の制限はない」
https://news.yahoo.co.jp/articles/95f39b5324419772183d2aaa22352f28f3ef607b■弁護士「政治家は無税相続できる」
https://www.lawyers-kokoro.com/nagoya/bengoshi-blog/897/■大前研一「世襲議員の原因は相続税ゼロ」
https://president.jp/articles/-/1857?page=1■元国税「政治家は相続税ゼロ」
https://topics.smt.docomo.ne.jp/article/mag2/nation/mag2-559784■世襲議員天国、理由は相続税ゼロ
https://gentosha-go.com/articles/-/23317■政治資金団体は相続税ゼロ
https://times.abema.tv/articles/-/8642037■共産党「政治家は相続税ゼロ。異常な特権」
https://www.jcp.or.jp/seisaku/2010_1/sanin_bunya/2010-00-29.html■小林節「世襲議員」はもはや憲法違反だ 日本は事実上の「貴族政治」になっているhttps://www.nikkan-gendai.com/articles/view/news/330965
■政治家と税金
https://www.asadakaikei.co.jp/archives/12273■相続税もかからない…!診療代もタダ…!いくら何でもズルすぎる「議員特権」一覧
https://gendai.media/articles/-/124084■立憲民主党「政治資金の相続贈与を禁止すべき」
https://www.asahi.com/sp/articles/ASRB36DPPRB3UTFK00F.html■維新の会「政治家の相続税が非課税になる問題を是正する」
https://o-ishin.jp/election/shuin2017/common/pdf/manifest.pdf■共産党「政治資金に相続税をかけるべき」
https://www.jcp.or.jp/seisaku/2010_1/sanin_bunya/2010-00-29.html■河野太郎「相続税回避かのような政治資金の引き渡しはいかん」
https://www.nikkansports.com/general/nikkan/news/202409220000671.html - 48 名前:一般よりも上級の名無しさん 投稿日時:2025/01/24(金) 23:06:09.11 ID:ZBo9de9s0
-
借金と墓が残るぞ
- 49 名前:一般よりも上級の名無しさん 投稿日時:2025/01/24(金) 23:06:10.54 ID:g/5eI3UQ0
-
そりゃ上級搾取がわーくにの国技だし、子供自体作らん方がええんよ。こんな国に生まれるのは不幸、今の上級が死に絶えてから生まれるならいいけど
- 50 名前:一般よりも上級の名無しさん 投稿日時:2025/01/24(金) 23:06:37.45 ID:4iwIE6PC0
-
若い子たち自身がとっくに諦めて
知らん誰かをチヤホヤしてるからね - 51 名前:一般よりも上級の名無しさん 投稿日時:2025/01/24(金) 23:06:38.16 ID:9ulUj2kS0
-
日本人って本当に貧乏になったよな
- 52 名前:一般よりも上級の名無しさん 投稿日時:2025/01/24(金) 23:06:50.06 ID:7KgySuIZM
-
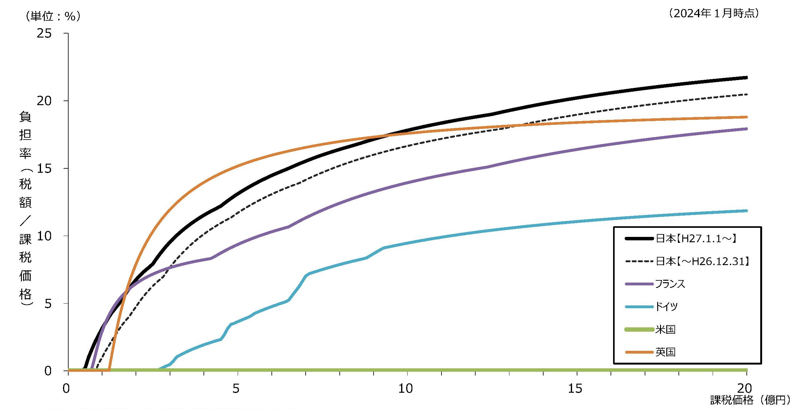
■米シンクタンク「日本の相続税は世界一の重税」
https://diamond.jp/articles/-/141511■相続税の高さ世界1位
https://news.yahoo.co.jp/articles/7121b78477bbf92356c045dfa42f04df0eaf43ac
https://www.mof.go.jp/tax_policy/summary/itn_comparison/j05.htm■邱永漢「日本は政治家と生活保護の人だけになる」
https://business.nikkei.com/atcl/NBD/19/depth/00357/■相続税 世界比較 税率
1位:日本(55%)
2位:韓国(50%)
3位:フランス(45%)
4位:英国、米国(40%)
6位:スペイン(34%)
7位:アイルランド(33%)
8位:ベルギー、ドイツ(30%)
10位:チリ(25%)
11位:ギリシャ、オランダ(20%)
13位:フィンランド(19%)
14位:デンマーク(15%)
15位:アイスランド、トルコ(10%)■相続税の無い国
中国、シンガポール、マレーシア、オーストラリア、ニュージーランド、カナダ、スウェーデン
■相続税 基礎控除額
日本 3000万円+600万円✕法定相続人
米国 約40.8億円まで免税、配偶者免税
https://www.mof.go.jp/tax_policy/summary/itn_comparison/j05.htm - 53 名前:一般よりも上級の名無しさん 投稿日時:2025/01/24(金) 23:06:52.62 ID:OVaSaOrm0
-
ケンモメンはそれに気づき結婚しなかった
- 54 名前:一般よりも上級の名無しさん 投稿日時:2025/01/24(金) 23:06:56.43 ID:1wcfCvB60
-
通常、子孫が残せないとなるとクリエイターが伸びるんだけどな
中抜きで逝っちゃってるから、こっちも厳しい - 55 名前:一般よりも上級の名無しさん 投稿日時:2025/01/24(金) 23:07:32.68 ID:BwBGDeGw0
-
底辺に厳しい
所得税の基礎控除48万、食料品にまで消費税1割近くかけて貪っていくやべー国(´・ω・`) - 56 名前:一般よりも上級の名無しさん 投稿日時:2025/01/24(金) 23:07:33.75 ID:AODeVm1k0
-
>>1
政府が悪いよ山神が正しさを教えてくれたろ?
- 57 名前:一般よりも上級の名無しさん 投稿日時:2025/01/24(金) 23:07:37.09 ID:9MXtlxV20
-
././←この記号はマルポス回避用だから取って読んでね~w
- 58 名前:一般よりも上級の名無しさん 投稿日時:2025/01/24(金) 23:07:40.79 ID:H4CzQ46YH
-
アメリカの経済植民地
- 61 名前:一般よりも上級の名無しさん 投稿日時:2025/01/24(金) 23:08:11.24 ID:6lKXDzFM0
-
誰かに何かを「残す」とか「与える」なんて高尚なことなどできなくなった
現代人なんぞ、目に映るものをただひたすら消費し食い散らかすことが取柄の豚に過ぎない
我が子であっても構わず消費し搾取する
これはもう生物としての本筋から逸脱している - 62 名前:一般よりも上級の名無しさん 投稿日時:2025/01/24(金) 23:08:17.79 ID:Xvvmk7IdM
-
ん?世界195ヵ国全て「残せる」のね
書いてみてよソース - 63 名前:一般よりも上級の名無しさん 投稿日時:2025/01/24(金) 23:08:21.31 ID:SF7K075T0
-
日本人は国の奴隷
稼いだ金も得た資産も全部国に没収される - 64 名前:一般よりも上級の名無しさん 投稿日時:2025/01/24(金) 23:08:24.96 ID:gAntSWDD0
-
子供どころか自分の生活ですらいっぱいいっぱいなレベルになってるからな
- 65 名前:一般よりも上級の名無しさん 投稿日時:2025/01/24(金) 23:08:47.14 ID:1PJT4hLt0
-
借金は残すぞ
- 66 名前:一般よりも上級の名無しさん 投稿日時:2025/01/24(金) 23:08:57.66 ID:oT/UL9ah0
-
上級だけが楽しい日本
- 67 名前:一般よりも上級の名無しさん 投稿日時:2025/01/24(金) 23:09:05.70 ID:Xvvmk7IdM
-
もうさ、こすりすぎのくだらないボンヤリ日本叩き通用しないの理解しよ?
- 68 名前:一般よりも上級の名無しさん 投稿日時:2025/01/24(金) 23:09:11.48 ID:K/aoE5W+0
-
マンションとか50年で壊すから本当い100年後とかなんにも残らんよねこの国
- 69 名前:一般よりも上級の名無しさん 投稿日時:2025/01/24(金) 23:09:20.21 ID:dd8b7RBG0
-
マジで地獄だよな
- 70 名前:一般よりも上級の名無しさん 投稿日時:2025/01/24(金) 23:09:41.42 ID:Xvvmk7IdM
-
ガイの者がまだ続けてんの草なんよww
- 71 名前:一般よりも上級の名無しさん 投稿日時:2025/01/24(金) 23:09:42.36 ID:x9ifL+7y0
-
まぁいいじゃんそういうの
- 73 名前:一般よりも上級の名無しさん 投稿日時:2025/01/24(金) 23:10:01.78 ID:DIV6i6GN0
-
知れば知るほどやばい国だよな子供産まなくてよかった…
- 74 名前:一般よりも上級の名無しさん 投稿日時:2025/01/24(金) 23:10:24.02 ID:hVlxjOZo0
-
日本で日本人相手に稼いだんだから社会に還元するだけでしょ
- 75 名前:一般よりも上級の名無しさん 投稿日時:2025/01/24(金) 23:10:34.71 ID:y4OdFyvR0
-
実際いま子供作ってるやつってどういう未来描いてんだろ
日本人、気ずく…日本って異常だろ…子供に何も残してやれない…夢も希望もない…
嫌儲


コメント一覧